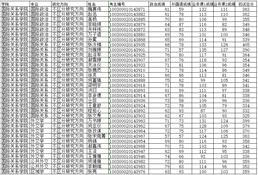
2020年硕士研究生入学考试复试名单

来源:古天乐太阳集团城 时间:2020-05-10 点击数:



Copyright 中国·太阳集团城(古天乐)股份有限公司|官方网站 版权所有. 地址:北京市海淀区西三环北路2号/19号    邮编:100089  Supported by BFSU ITC